Rovno na obsah Rovno na menu

S čím Vám pomôžeme?

rozšírené vyhľadávanie

27.2.2025 - vypnutá elektrická energia v obci

27.2.2025 - vypnutá elektrická energia v obci 1

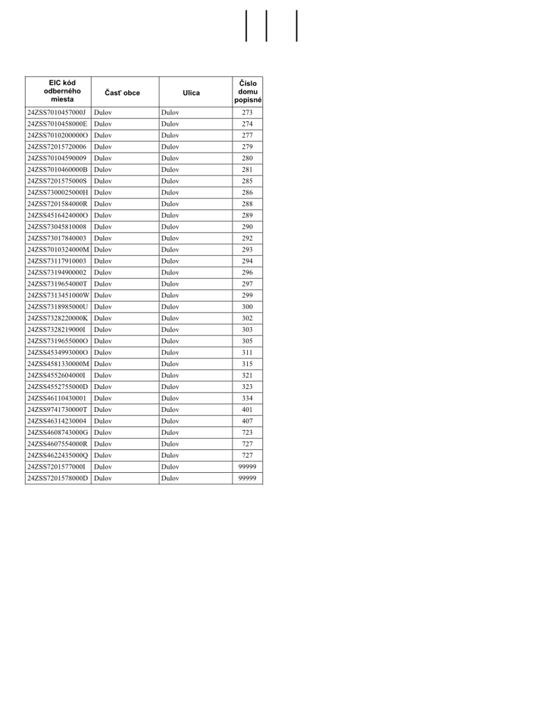
Z dôvodu odstraňovania poruchy na zariadeniach distribučnej sústavy bude prerušená elektrická energia v obci.

vyrozumenie1

 

vyrozumenie3

vyrozumenie4

vyrozumenie5

vyrozumenie 6

vyrozumenie7

Dátum vloženia: 24. 2. 2025 11:23
Autor: Správca Webu

Kalendár

Apríl2026
Po Ut St Št Pia So Ne
30 31 1 2 3 4 5
6 7 8 9 10 11 12
13 14 15 16 17 18 19
20 21 22 23 24 25 26
27 28 29 30 1 2 3

Družobná obec

Družobná obec

Družobná obec
Bystřice pod Lopeníkem

MAS Vršatec

Vršatec

MAS Vršatec

Mapový portal obce Dulov

Mapový portál

Mapový portál

Počasie

dnes, streda 22. 4. 2026
oblačno 13 °C 1 °C
štvrtok 23. 4. polojasno 14/3 °C
piatok 24. 4. slabý dážď 11/2 °C
sobota 25. 4. takmer jasno 14/1 °C

Mobilná aplikácia

Sledujte informácie z nášho webu v mobilnej aplikácii - V OBRAZE.

voľby prezidenta

erb dulov

Voľby do orgánov samosprávy obcí 2025


hore